vedroprevir (GS 9451)
/ Gilead
- LARVOL DELTA
Home
Next
Prev
1 to 11
Of
11
Go to page
1
May 01, 2012
GS-5885, GS-9451 with peginterferon alfa 2a (PEG) and ribavirin in treatment-naïve subjects with chronic genotype 1 hep C virus infection and IL28B CC genotype
(clinicaltrials.gov)
- P2, N=235; Recruiting; Completion date: Apr 2014 -> Mar 2015
Completion date • Trial delayed • Hepatitis C Virus
February 27, 2012
GS 5885 administered concomitantly with GS-9451, tegobuvir and ribavirin (RBV) in chronic genotype 1 hepatitis C Virus (HCV) infection
(clinicaltrials.gov)
- P2, N=120; Recruiting -> Active, not recruiting
Enrollment closed • Hepatitis C Virus
March 06, 2014
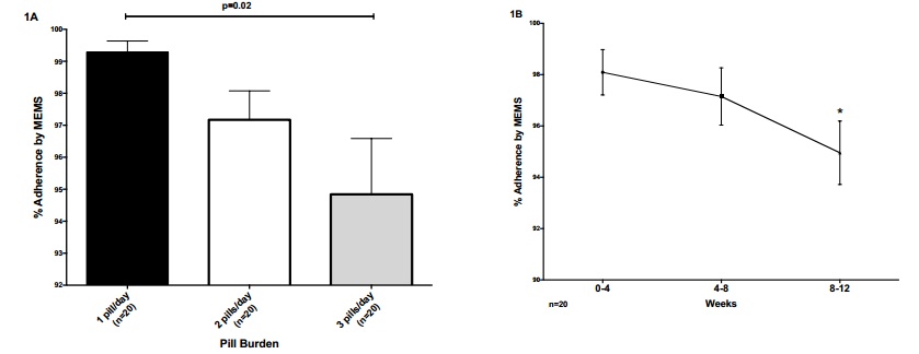
Pill burden & treatment length reduce adherence to IFN-free hepatitis C therapy in an urban cohort
(CROI 2014)
- Abstract #667; P2, N=60; SYNERGY (
NCT01805882
); "Adherence to short courses of DAA therapy with 1-3 pills once a day was excellent in an urban population with multiple risk factors for non-adherence. Increased pill burden and duration of treatment decreased adherence."
P2 data • Hepatitis C Virus
March 04, 2014
[Late breaking abstract] Combination oral, hepatitis C antiviral therapy for 6 or 12 weeks: Final results of the SYNERGY trial
(CROI 2014)
- Abstract #27LB; P2, N=60; SYNERGY (
NCT01805882
); "The end of treatment response (HCV RNA <LLOQ) was 100%, 75% and 95% of subjects in Arms A, B and C respectively using a more sensitive HCV assay with lower limit of quantification of 12 IU/mL (Fig 1). Using an HCV RNA assay with a lower limit of quantification of <43 IU/mL 100% of patients on all arms were suppressed at EOT. 100%, 90% and 95% of patients in Arm A, B and C respectively achieved SVR12."
P2 data • Hepatitis C Virus
February 07, 2014
All-oral combination of ledipasvir, vedroprevir, tegobuvir, and ribavirin in treatment-naive patients with genotype 1 HCV infection
(Hepatology)
- P2, N=140;
NCT01353248
; Sponsor: Gilead; "Sustained virologic response 12 weeks after treatment (SVR12) was higher in patients receiving 90 mg LDV for 24 weeks (63%) compared to LDV 90 mg for 12 weeks (54%) and LDV 30 mg for 24 weeks (48%). In patients with vRVR in Arm 2, SVR12 was achieved by 68% and 81% of patients treated for 12 and 24 weeks, respectively."
P2 data • Hepatitis C Virus
April 09, 2013
Combination of the NS5A inhibitor, GS-5885, the NS3 protease inhibitor, GS-9451, and pegylated interferon plus ribavirin in treatment experienced patients with genotype 1 hepatitis C infection
(EASL 2013)
- Presentation time: 25.04.2013, 16:00-18:00; Abstract 13; P2, N=163; NCT01353248; Sponsor: Gilead; “The overall SVR4 response rate was 74%...Higher rates of SVR were observed in patients infected with genotype 1b (97%), those with IL28B CC genotype (100%), and in prior relapsers (93%).”
P2 data • Hepatitis C Virus
April 04, 2012
High sustained virologic response rate in treatment-naïve HCV genotype 1A and 1B patients treated for 12 weeks with an interferon-free all-oral quad regimen: Interim results
(EASL 2012)
- Presentation time: 19.04.2012, 09:00-18:00; P2, N=141; 26 of 27 (96%) achieved SVR4; Viral breakthrough occurred only in GT1a patients (8/55); Two patients terminated early; IL28B status did not appear to correlate with SVR4 or breakthrough
P2 interim data • Hepatitis C Virus
September 12, 2013
Ledipasvir + GS-9451 + peginterferon and ribavrin (PR) for six or 12 weeks achieves a high SVR12 in treatment naïve genotype 1 IL28B CC patients
(AGW 2013)
- P2, N=244; NCT01384383; Sponsor: Gilead Sciences; "These data demonstrate a high SVR12 (82–100%) with 6 or 12 wks of two direct-acting antivirals plus PR result in high rates of response in a treatment naïve, non-cirrhotic, IL28 CC population. Additionally, 12 wks of the 4 drug regimen is comparable to 24 wks of PR."
P2 data • Hepatitis C Virus
March 05, 2013
Effect of early viral kinetics on Interferon-g inducible protein-10 in patients given an all-oral anti-hepatitis C virus regimen
(CROI 2013)
- Abstract#703; Sponsor: Gilead; P2, N=124; NCT01353248; "All patients receiving anti-viral therapy had a rapid decline in HCV RNA, but overall response varied. Over the first 2 weeks of treatment, a bi-phasic pattern of IP-10 decline was observed"
P2 data • Hepatitis C Virus
April 09, 2013
Antiviral efficacy of the NS3 protease inhibitor, GS-9451, non-nucleoside NS5B inhibitor, tegobuvir, and pegylated interferon plus ribavirin in treatment-naïve genotype 1 hepatitis C infected patients
(EASL 2013)
- Presentation time: 26.04.2013, 16:00-18:00; Abstract 68; P2, N=239; NCT01353248; Sponsor: Gilead; “The regimen was well tolerated with 4-6% of patients experiencing a serious adverse event…addition of GS-9451 to a PEG/RBV regimen results in improved SVR12 rates in treatment-naïve, genotype 1 HCV patients relative to PEG/RBV.”
P2 data • Hepatitis C Virus
September 02, 2017
The paradox of highly effective sofosbuvir-based combination therapy despite slow viral decline: can we still rely on viral kinetics?
(PubMed, Sci Rep)
- "High sustained virologic response (SVR) rates have been observed after 6 weeks of anti-HCV treatment using sofosbuvir, ledipasvir and a non-nucleoside polymerase-inhibitor (GS-9669) or a protease-inhibitor (GS-9451) and after 12 weeks with sofosbuvir + ledipasvir. In conclusion, the rapid cure rate achieved with these combinations is largely disconnected from viral loads measured during treatment. A model assuming that rapid cure is due to a drug effect of generating non-infectious virus could be a basis for future response guided therapy."
Combination therapy • Journal
1 to 11
Of
11
Go to page
1