vofatamab (B-701)
/ Rainier Therap
- LARVOL DELTA
Home
Next
Prev
1 to 25
Of
57
Go to page
1
2
3
June 26, 2025
Evaluating the Uptake of the Canadian Standards Association (CSA) B701:17 (R2021) Carer-Inclusive and Accommodating Organizations Standard Across Canada.
(PubMed, Int J Environ Res Public Health)
- "It was found that only 24% of workplaces have implemented the Standard into their workplace practices, with full implementation and current supports as strong predictors of formal uptake. Prominent themes around barriers to uptake and existing organizational policies highlight the critical importance of workplace culture in facilitating CFWPs."
Journal
March 16, 2025
Achieving a caregiver-friendly workplace standard for Canadian carer-workers: An ex ante evaluation of potential uptake.
(PubMed, Eval Program Plann)
- "With the assistance of a Committee of experts, McMaster University partnered with the Canadian Standards Association (CSA) to develop the Caregiver Inclusive and Accommodating Organizations Standard (B701-17)...Following transcription, interviews were thematically analyzed, resulting in four themes: (1) necessity; (2) impact of employer size; (3) motivators for implementation, and (4) use as an educational tool. Although initially in its early stages, the Standard now provides a key tool to improve accommodations for carer-workers."
Journal
December 19, 2023
A Study of [225Ac]-FPI-1966 in Participants With Advanced Solid Tumours
(clinicaltrials.gov)
- P1/2 | N=6 | Terminated | Sponsor: Fusion Pharmaceuticals Inc. | Completed ➔ Terminated; Fusion announced that it is discontinuing this study as part of a portfolio prioritization and assessment; Fusion no longer plans to pursue development of FPI-1966.
Metastases • Trial termination • Bladder Cancer • Breast Cancer • Colorectal Cancer • Gastric Cancer • Gastrointestinal Cancer • Genito-urinary Cancer • Head and Neck Cancer • Hepatology • Liver Cancer • Lung Cancer • Oncology • Ovarian Cancer • Solid Tumor • Squamous Cell Carcinoma • Squamous Cell Carcinoma of Head and Neck
October 31, 2023
A Study of [225Ac]-FPI-1966 in Participants With Advanced Solid Tumours
(clinicaltrials.gov)
- P1/2 | N=6 | Completed | Sponsor: Fusion Pharmaceuticals Inc. | Active, not recruiting ➔ Completed | Trial completion date: Dec 2026 ➔ Sep 2023 | Trial primary completion date: Jun 2026 ➔ Sep 2023
Metastases • Trial completion • Trial completion date • Trial primary completion date • Bladder Cancer • Breast Cancer • Colorectal Cancer • Gastric Cancer • Gastrointestinal Cancer • Genito-urinary Cancer • Head and Neck Cancer • Hepatology • Liver Cancer • Lung Cancer • Oncology • Ovarian Cancer • Solid Tumor • Squamous Cell Carcinoma • Squamous Cell Carcinoma of Head and Neck
May 12, 2023
A Study of [225Ac]-FPI-1966 in Participants With Advanced Solid Tumours
(clinicaltrials.gov)
- P1/2 | N=6 | Active, not recruiting | Sponsor: Fusion Pharmaceuticals Inc. | Recruiting ➔ Active, not recruiting | N=155 ➔ 6
Enrollment change • Enrollment closed • Metastases • Bladder Cancer • Breast Cancer • Colorectal Cancer • Gastric Cancer • Gastrointestinal Cancer • Genito-urinary Cancer • Head and Neck Cancer • Hepatology • Liver Cancer • Lung Cancer • Oncology • Ovarian Cancer • Solid Tumor • Squamous Cell Carcinoma • Squamous Cell Carcinoma of Head and Neck • Urothelial Cancer
June 05, 2021
[VIRTUAL] MODULE 3: New Directions in the Management of UBC
(ASCO 2021)
- "Available data from the Phase I/II CheckMate 032 trial of nivolumab alone or in combination with ipilimumab in the cohort of patients with advanced UBC Ongoing Phase III trials (eg, CheckMate 901, NILE) evaluating anti-PD-1/PD-L1 antibodies in combination with other systemic therapies as first-line therapy for patients with unresectable locally advanced or metastatic UBC Design, eligibility criteria and key endpoints of the ongoing Phase III PROOF 302 trial of the oral FGFR inhibitor infigratinib as adjuvant therapy for patients with MIBC harboring susceptible FGFR3 alterations Published research findings and ongoing evaluations of other FGFR-targeted agents (eg, pemigatinib, rogaratinib, vofatamab, LY3076226, futibatinib) in UBC Clinical rationale for the ongoing evaluation of enfortumab vedotin in combination with an immune checkpoint inhibitor as neoadjuvant therapy for cisplatin-eligible patients with MIBC (KEYNOTE-B15/EV-304) Potential role of the antibody-drug..."
Immune Modulation • Inflammation • Oncology • FGFR3 • ICOS
February 17, 2019
Fierce-21: Phase II study of vofatmab (B-701), a selective inhibitor of FGFR3, as salvage therapy in metastatic urothelial carcinoma (mUC).
(ASCO-GU 2019)
- P1/2; "FIERCE-21 is a Phase 1b/2 study designed to evaluate vofatamab monotherapy (VM) or in combination with docetaxel (VD). Vofatamab both alone and combined with D in an every 3-week schedule are well tolerated with a low frequency of grade 3 TEAEs. Both VM and VD have demonstrated efficacy in terms of ORR, and mature results with PFS data will be presented."
IO Biomarker
February 19, 2019
Fierce-21: Phase II study of vofatmab (B-701), a selective inhibitor of FGFR3, as salvage therapy in metastatic urothelial carcinoma (mUC).
(ASCO-GU 2019)
- P1/2; "FIERCE-21 is a Phase 1b/2 study designed to evaluate vofatamab monotherapy (VM) or in combination with docetaxel (VD). Vofatamab both alone and combined with D in an every 3-week schedule are well tolerated with a low frequency of grade 3 TEAEs. Both VM and VD have demonstrated efficacy in terms of ORR, and mature results with PFS data will be presented."
IO Biomarker • P2 data
June 06, 2019
FIERCE-22: Clinical activity of vofatamab (V) a FGFR3 selective inhibitor in combination with pembrolizumab (P) in WT metastatic urothelial carcinoma, preliminary analysis.
(ASCO 2019)
- P1b/2; "VP combination therapy is well tolerated with an encouraging ORR and prolonged PFS in the WT cohort; greater than one would anticipate from P alone based upon historical data. We will be reporting 9+ month preliminary PFS/OS and updated OOR/DOR data. Clinical trial information: NCT03123055"
Clinical • Combination therapy • IO biomarker • PD(L)-1 Biomarker • Bladder Cancer • Genito-urinary Cancer • Oncology • Solid Tumor • Urothelial Cancer
May 20, 2017
Safety and efficacy of docetaxel + b-701, a selective inhibitor of FGFR3, in subjects with advanced or metastatic urothelial carcinoma.
(ASCO 2017)
- P1b/2; "...Prior to atezolizumab’s approval, there were no approved treatments (txs) for pts who progressed after chemotherapy...B-701 (formerly R3Mab) is a fully human monoclonal antibody against FGFR3 that blocks activation of the wildtype and genetically activated receptor... Preliminary results show that B-701 combines safely and effectively with D in UCC, with the combination being well tolerated and showing promising ORR and PFS in pts w/ FGFR3 mut/fus. The protocol has been amended to add Cohorts 2 (B-701+D) and 3 (B-701) (n=20 pts/cohort) for pts w/ FGFR3 mut/fus+ tumors only."
Checkpoint inhibition • Clinical • Biosimilar • Bladder Cancer
September 11, 2019
Clinical activity of vofatamab (V), an FGFR3 selective antibody in combination with pembrolizumab (P) in metastatic urothelial carcinoma (mUC), updated interim analysis of FIERCE-22
(ESMO 2019)
- P1b/2; "VP combination therapy is well tolerated with encouraging ORR and prolonged PFS compared to historical data from P alone. We will present updated safety and efficacy data including OS at 12 months. Clinical trial identification: NCT03123055."
Clinical • Combination therapy • IO biomarker • PD(L)-1 Biomarker • Bladder Cancer • Genito-urinary Cancer • Oncology • Solid Tumor • Urothelial Cancer
June 03, 2019
Rainier Therapeutics announces results from first interim analysis of the FIERCE-22 trial of vofatamab in combination with pembrolizumab in patients with metastatic urothelial cell carcinoma (bladder cancer)
(Businesswire)
- P1/2, N=300; FIERCE-21 (NCT02401542); Sponsor: Rainier Therapeutics; "In addition, results were presented from the Phase 2 portion of the FIERCE-21 trial evaluating vofatamab in combination with docetaxel and vofatamab as monotherapy in patients with locally advanced or metastatic bladder cancer with FGFR3 mutations or gent fusions who have relapsed after or are refractory to at least one prior line of chemotherapy. Data presented indicated vofatamab alone and in combination was well tolerated, with no observed long-term safety issues."
P1/2 data • Bladder Cancer • Gastrointestinal Cancer • Oncology • Urothelial Cancer
May 06, 2022
A Study of [225Ac]-FPI-1966 in Participants With Advanced Solid Tumours
(clinicaltrials.gov)
- P1/2 | N=155 | Recruiting | Sponsor: Fusion Pharmaceuticals Inc.
New P1/2 trial • Bladder Cancer • Breast Cancer • Colorectal Cancer • Gastric Cancer • Gastrointestinal Cancer • Genito-urinary Cancer • Head and Neck Cancer • Hepatology • Liver Cancer • Lung Cancer • Oncology • Ovarian Cancer • Solid Tumor • Squamous Cell Carcinoma • Squamous Cell Carcinoma of Head and Neck • Urothelial Cancer
December 13, 2021
Effect of Changing Surgical Instruments Before Wound Closure to Prevent Wound Infection in Lower GI Surgery: A Randomized Controlled Trial.
(PubMed, Dis Colon Rectum)
- "Changing surgical instruments did not decrease the rate of incisional surgical site infection in patients undergoing lower GI surgery in either all wound classes or clean-contaminated conditions. See Video Abstract at http://links.lww.com/DCR/B701."
Clinical • Journal • Gastrointestinal Disorder • Infectious Disease
June 06, 2019
FIERCE-22: Clinical activity of vofatamab (V) a FGFR3 selective inhibitor in combination with pembrolizumab (P) in WT metastatic urothelial carcinoma, preliminary analysis.
(ASCO 2019)
- P1b/2; "VP combination therapy is well tolerated with an encouraging ORR and prolonged PFS in the WT cohort; greater than one would anticipate from P alone based upon historical data. We will be reporting 9+ month preliminary PFS/OS and updated OOR/DOR data. Clinical trial information: NCT03123055"
Clinical • Combination therapy • IO Biomarker • PD(L)-1 Biomarker
May 22, 2018
FIERCE-21: Phase 1b/2 study of docetaxel + b-701, a selective inhibitor of FGFR3, in relapsed or refractory (R/R) metastatic urothelial carcinoma (mUCC).
(ASCO 2018)
- P1b/2; "B-701 combined with standard dose D in an every 3 week schedule in patients with mUCC was well-tolerated with expected myelosuppression. Enhanced activity was seen in the FGFR3 M/F compared to WT patients. Phase 2 expansion is currently enrolling FGFR3 M/F patients (B-701 monotherapy vs."
P1/2 data • Bladder Cancer • Hematological Malignancies • Hepatocellular Cancer
May 10, 2019
FIERCE-21: Phase 2 Study of Vofatmab (B-701), a Selective Inhibitor of FGFR3, as salvage therapy in Metastatic Urothelial Carcinoma (mUCC)
(AUA 2019)
- "FIERCE-21 is a Phase 1b/2 study designed to evaluate vofatamab monotherapy (VM) or in combination with docetaxel (VD). Vofatamab both alone and combined with D in an every 3-week schedule are well tolerated with a low frequency of grade 3 TEAEs. Both VM and VD have demonstrated efficacy in terms of ORR, and mature results with PFS data will be presented. Source of Funding: BioClin Therapeutics, Inc"
IO Biomarker • P2 data
June 06, 2019
Interim analysis of the fierce-21 phase 2 (P2) study of vofatamab (B-701), a selective inhibitor of FGFR3, as salvage therapy in metastatic urothelial carcinoma (mUC).
(ASCO 2019)
- P1/2; "FIERCE-21 is a Phase 1b/2 study designed to evaluate vofatamab monotherapy (VFM) or in combination with docetaxel (VFD). Vofatamab both alone and combined with D in a q3w schedule are well tolerated with a low frequency of grade 3 TEAEs. Both VFM and VFD have demonstrated efficacy in terms of ORR. PFS/OS and DOR data will be presented at 7+ months for VFD and 9+ months for VFM."
IO Biomarker • P2 data
February 17, 2019
Fierce-21: Phase II study of vofatmab (B-701), a selective inhibitor of FGFR3, as salvage therapy in metastatic urothelial carcinoma (mUC).
(ASCO-GU 2019)
- P1/2; "FIERCE-21 is a Phase 1b/2 study designed to evaluate vofatamab monotherapy (VM) or in combination with docetaxel (VD). Vofatamab both alone and combined with D in an every 3-week schedule are well tolerated with a low frequency of grade 3 TEAEs. Both VM and VD have demonstrated efficacy in terms of ORR, and mature results with PFS data will be presented."
IO Biomarker
August 10, 2015
BioClin Therapeutics initiates phase 2 clinical trial evaluating B-701 for treatment of urothelial cell carcinoma
(PRNewswire)
- P2, N=211; Sponsor: BioClin Therapeutics; NCT02401542; "BioClin Therapeutics, Inc. announced...that it has initiated a Phase 2 clinical study of B-701, an anti-FGFR3 antibody....This study is divided into two phases: an open-label lead-in phase, which will assess the safety and potential early signal of efficacy of B-701 plus docetaxel, and the randomized phase, which will compare B-701 in combination with docetaxel vs. docetaxel alone."
New P2 trial • Oncology
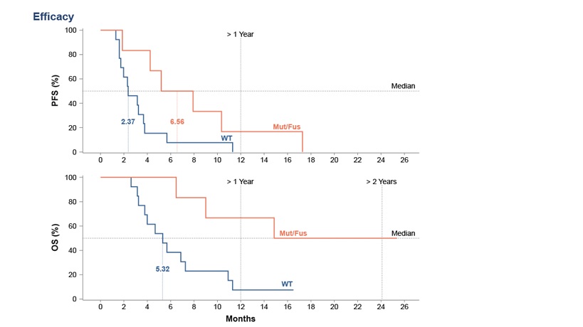
June 20, 2018
B-701: "FGFR3 mut/fus patients experienced prolonged PFS (> 6 mo) and with 20-month follow-up, the median OS was not reached"
(Rainier Therapeutics)
- ASCO 2018
P1/2 data • Genito-urinary Cancer • Oncology • Solid Tumor • Urothelial Cancer
May 17, 2018
BioClin Therapeutics, Inc. announces poster presentation of B-701 at the 2018 American Society of Clinical Oncology (ASCO) Annual Meeting
(Businesswire)
- P1/2, N=261; NCT02401542; "BioClin Therapeutics...announced today that data will be presented from its ongoing Phase 1b/2 study of B-701...plus docetaxel for metastatic bladder cancer at a poster session at the 2018 American Society for Clinical Oncology (ASCO) meeting being held June 1-5, 2018 in Chicago, IL."
P1 data • Bladder Cancer • Genito-urinary Cancer • Oncology • Solid Tumor • Urothelial Cancer
February 15, 2020
Data + Perspectives: Clinical Investigators Discuss the Optimal Management of Urothelial Bladder Carcinoma
(Research To Practice)
- "February 14, 2020, MODULE 5: FGFR-Targeted Strategies in Advanced UBC; Spectrum and frequency of FGFR alterations in patients with mUBC....Published research findings and ongoing evaluation of other FGFR-targeted agents (eg, pemigatinib, rogaratinib, vofatamab) in UBC."
CME
December 08, 2019
Targeted therapies for advanced bladder cancer: new strategies with FGFR inhibitors.
(PubMed, Ther Adv Med Oncol)
- "In this review, we provide an overview of the results of recent clinical trials on FGFR tyrosine kinase inhibitors (TKIs) currently in clinical development for the treatment of UC: erdafitinib, rogaratinib, infigratinib, and the monoclonal antibody vofatamab. The Food and Drug Administration recently granted accelerated approval to erdafitinib for patients with advanced UC with alterations of FGFR2 or FGFR3 after progression on platinum-based chemotherapy. We also look at future therapeutic options of combination regimens with immune-checkpoint inhibitors as strategies for improving the antitumor effects of this class of drug, and for preventing or delaying the development of resistance."
Journal • Review
December 11, 2019
FIERCE-22: A Study of B-701 in Combination With Pembrolizumab in Treatment of Locally Advanced or Metastatic Urothelial Cell Carcinoma
(clinicaltrials.gov)
- P1b/2; N=38; Terminated; Sponsor: Rainier Therapeutics; N=74 ➔ 38; Trial completion date: Sep 2022 ➔ Dec 2019; Active, not recruiting ➔ Terminated; Trial primary completion date: Dec 2021 ➔ Dec 2019; program has been put on hold by the sponsor
Clinical • Combination therapy • Enrollment change • Trial completion date • Trial primary completion date • Trial termination
1 to 25
Of
57
Go to page
1
2
3